東北地理所在有機物料深混還田改善土壤結構和土壤酶活性方面取得進展
有機物質可以通過對土壤物理、化學和生物特性的積極影響,顯著改善農田生態系統中碳氮循環和土壤肥力。秸稈和有機肥作為常見的土壤改良劑,結合不同的耕作方式(常規耕作、輪作和深埋),對土壤養分有效性、土壤結構和土壤微生物群落有顯著的改善效果。土壤酶活性是土壤微生物重要的指示性指標。土壤結構影響植物生長所需的水分和養分供應、物質交換、氣體循環、微生物活動和作物根系的延伸。土壤孔隙結構可以通過影響微生物生存環境,進而影響酶活性。然而,有機物料還田條件下,黑鈣土土壤孔隙結構對酶活性的影響尚不清楚。
東北地理所黑土保護與利用學科組研究人員在黑鈣土地區通過有機物料還田與耕作深度結合的定位試驗,探究了有機物料類型與還田深度對土壤孔隙結構和土壤酶活性的影響,并分析了土壤結構特征對微生物量和微生物活性的影響機制,旨在為改善土壤孔隙結構和微生物活性進而增加農田生態系統中碳氮的固存提供科學的見解。
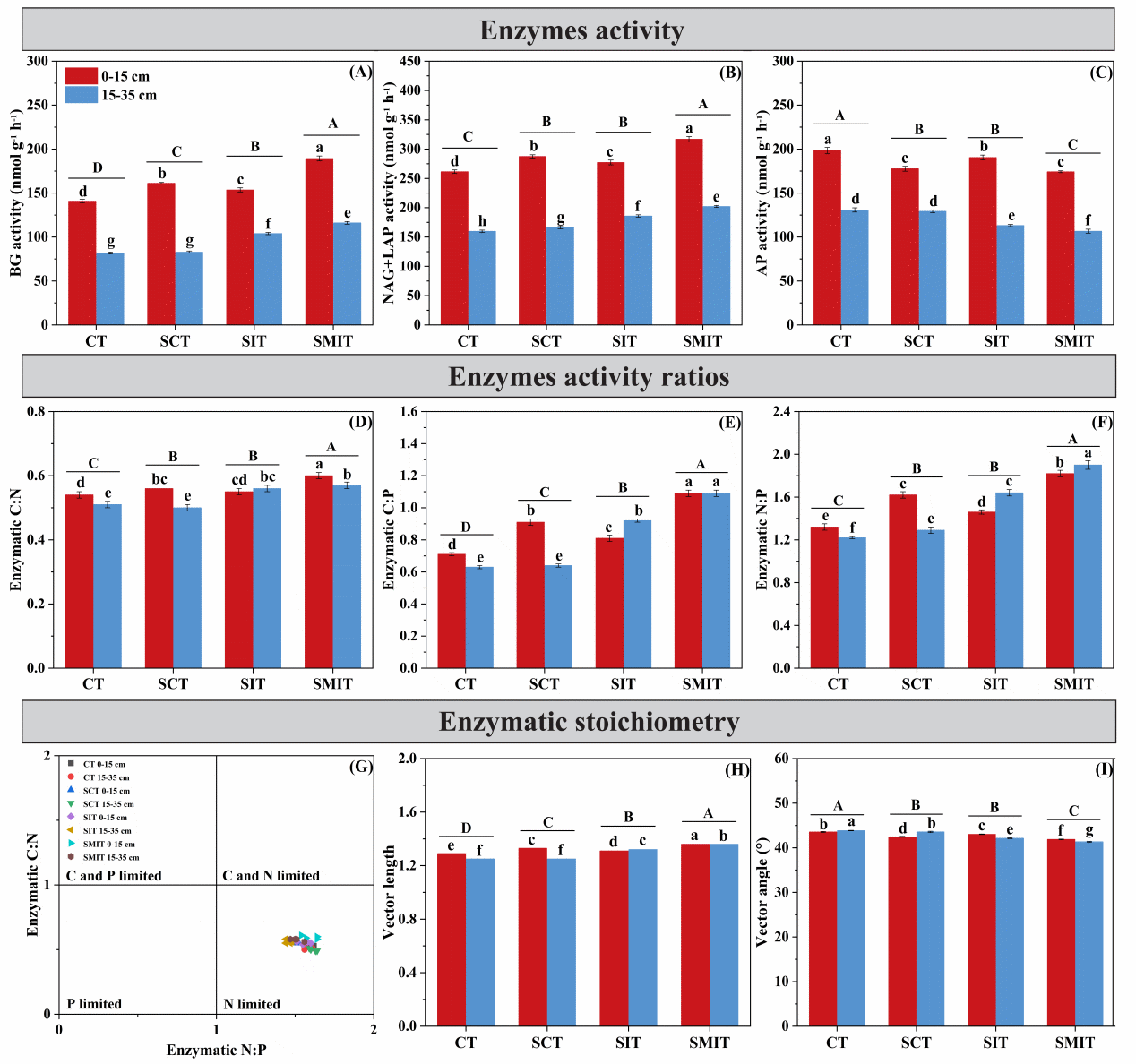
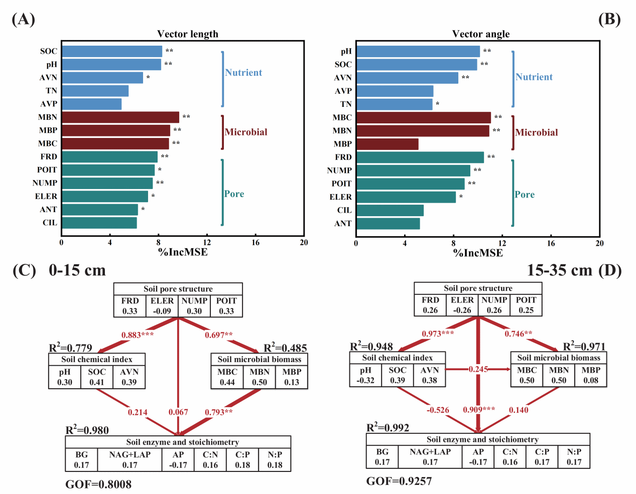
研究發現,(1)深翻耕作與有機物料相結合可以改變土壤孔隙結構,與秸稈淺混和深混處理相比,秸稈+有機肥結合深翻耕作處理的土壤在大孔隙數量、孔隙度和分形維數上均有顯著增加,提高了0~35 cm土層土壤孔隙的復雜性和連通性;(2)土壤孔隙結構的改善有利于養分固持,形成有利于微生物生長的孔隙結構,使微生物生物量增加3.57~46.01%,土壤碳和氮限制酶活性分別顯著提高了11.67~40.16%和8.81~21.43%(圖1,P < 0.05);(3)結構方程模型表明,有機物料還田有利于土壤孔隙結構的發育,并顯著提高土壤酶活性,進而緩解了微生物氮限制(圖2和3),促進作物生長。因此,在黑鈣土區域,秸稈+有機肥結合深翻耕作是能夠改善土壤結構和微生物生存環境、促進土壤碳氮固存的有效措施。

圖1. 土壤胞外酶活性對耕作和有機物料還田的響應

圖2. 土壤性質對酶活性的影響和微生物資源限制與土壤性質的關系

圖3. 概念圖顯示不同有機物料還田條件下土壤酶活性和微生物養分資源限制對土壤性質響應的增加(紅色)和減少(藍色)
研究成果近期發表在農林科學國際期刊Journal of Environmental Management(JCR 1區Top)上。黑土保護與利用學科組科研助理劉春柱為論文第一作者,陳旭助理研究員和鄒文秀研究員為通訊作者。研究得到國家重點研發計劃(2022YFD1500105)、中國科學院戰略性先導科技專項A類(XDA28070100)和財政部和農業農村部:國家現代農業產業技術體系(CARS-04)共同資助。
論文信息:
Liu Chunzhu,Han Xiaozeng,Lu Xinchun,Yan Jun,Chen Xu*,Zou Wenxiu*. Response of soil enzymatic activity to pore structure under inversion tillage with organic materials incorporation in a Haplic Chernozem. Journal of Environmental Management,2024,370,122421.
論文鏈接:
DOI 10.1016/j.jenvman.2024.122421
附件下載:
吉公網安備22017302000214號