東北地理所在黑土微生物介導土壤碳和微塑料碳轉化機制方面取得進展
我國是農業大國,農用地膜的使用量高居不下,殘留在土壤中的農用地膜經一系列環境因素破碎成塑料纖維、碎片或顆粒等,導致微塑料在土壤中大量積累。微塑料作為一種高碳聚合物,在持續崩解過程中會改變土壤碳代謝微生物群落功能。
為此,東北地理所農田分子生態學科組研究人員在前期研究的基礎上(J. Hazard. Mater., 2022. 2023),繼續探究傳統(聚乙烯,PE-MP)和生物可降解(聚乳酸-己二酸對苯二甲酸丁二醇酯,BMP)微塑料殘留對黑土及微塑料圈的碳循環相關功能微生物及微塑料的酶解特征。
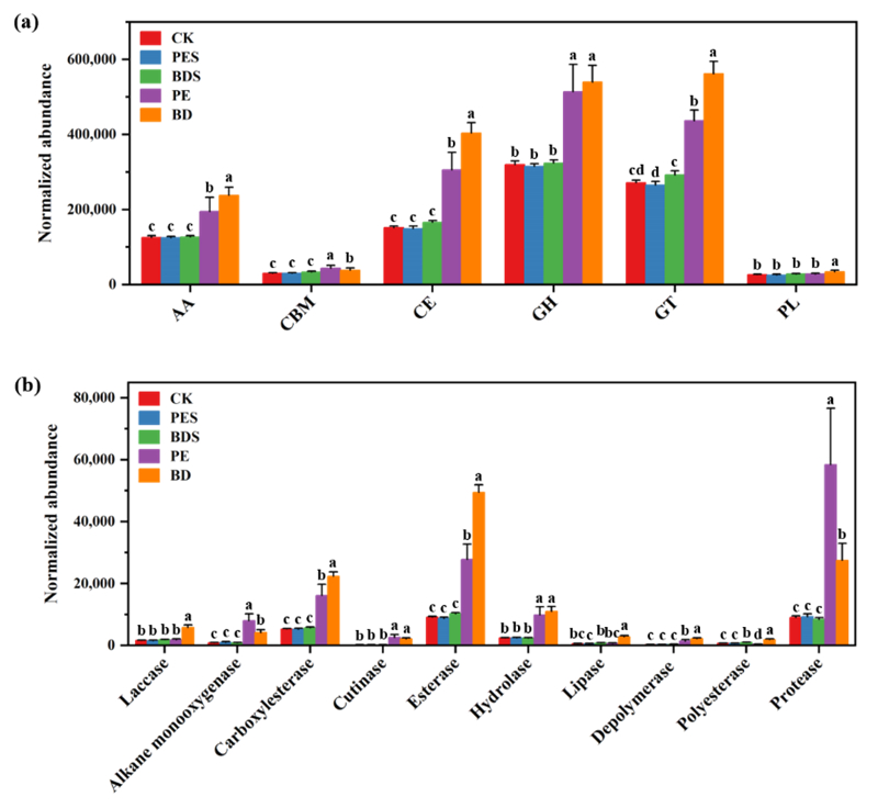
研究表明,微塑料圈的碳循環微生物群及碳水化合物水解酶(CAZymes)和塑料降解酶(PDZymes)的群落特征與土壤中存在顯著差異,BMP引起的改變比PE-MP更為顯著。微塑料圈顯著富集了大量水解酶和降解酶且促進了多重碳降解代謝途徑。相比BMP,PE特異性富集了碳水化合物結構域(CBM)來增加烷烴單加氧酶、蛋白酶等其他酶系對底物的親和性;包括氧化還原酶(AA)和糖基轉移酶(GT)以及漆酶和酯酶等在內的多種水解酶和降解酶可潛在作用于BMP的分解(圖1)。與BMP相比,PE-MP通過富集Nocardia等物種進而潛在促進纖維素、半纖維素和幾丁質等土壤惰性碳的降解,而BMP顯著提升Bradyrhizobium等物種的豐度更有助于聚羥基脂肪酸(PHA)和淀粉等活性碳的降解(圖2)。同時,BMP還顯著促進了乙酸和乙醇型發酵及還原性三羧酸循環介導的土壤碳固定過程(圖2)。對高質量基因組攜帶的相關功能基因挖掘發現,PE-MP和BMP分別需要土壤絲菌和鞘氨醇單胞菌等物種來分泌不同的水解酶和降解酶,將這兩種微塑料高碳聚合物進行解聚,最終達到徹底的分解代謝(圖3)。本研究明確了微塑料圈通過富集碳代謝相關微生物類群進而顯著影響土壤碳循環功能,生物可降解微塑料對相關碳功能基因、碳水化合物水解酶和塑料降解酶的影響比聚乙烯微塑料更為廣泛和顯著。研究結果可為黑土微塑料治理及提升黑土有機碳固存潛力提供微生物學理論借鑒。

圖1 微塑料殘留下土壤及微塑料圈的水解酶(a)和降解酶(b)豐度

圖2 微塑料殘留下土壤及微塑料圈的碳代謝路徑的差異

圖3 傳統和生物可降解微塑在土壤中的微生物潛在分解行為
研究成果近期發表在國際期刊《Chemosphere》(IF: 8.8)和《Applied Soil Ecology》(IF: 4.8)上,農田分子生態學科組副研究員胡曉婧為第一作者,王光華研究員為通訊作者。研究得到中國科學院青年創新促進會(2023237)、中國科學院戰略性先導科技專項(XDA28020201)和黑龍江省自然科學基金重點項目(ZD2022D001)共同資助。
論文信息:
Hu X, Gu H, Sun X, Wang Y, Liu J, Yu Z, Li Y, Jin J, Wang G*. Metagenomic exploration of microbial and enzymatic traits involved in microplastic biodegradation. Chemosphere. 2024. 348.140762.
Hu X, Wang Y, Gu H, Liu J, Liu Z, Li Y, Jin J, Wang G*. Changes in soil microbial functions involved in the carbon cycle response to conventional and biodegradable microplastics. Applied Soil Ecology. 2024. 195. 105269.
論文鏈接:
https://doi.org/10.1016/j.chemosphere.2023.140762
https://doi.org/10.1016/j.apsoil.2023.105269
附件下載:
吉公網安備22017302000214號