東北地理所揭示野生植物種子儲藏物質與種子萌發的關系
種子萌發是植物生活史的起始和關鍵階段,受多種環境因素影響,同時環境因素也通過調控母體轉移到種子中的儲藏物質種類和量間接影響種子萌發。以往有關貯藏物質如淀粉、蛋白質或脂肪含量及種子活力與萌發關系的研究主要見于作物種子,在野生種中鮮有報道。不同物種種子貯藏物類型、比例及作用不同,分析主要儲藏物質含量與野生物種種子萌發的相關性及種子萌發過程中支持胚根突出的關鍵儲藏物質將有助于深入認識種子萌發的代謝生理以及作物馴化過程。
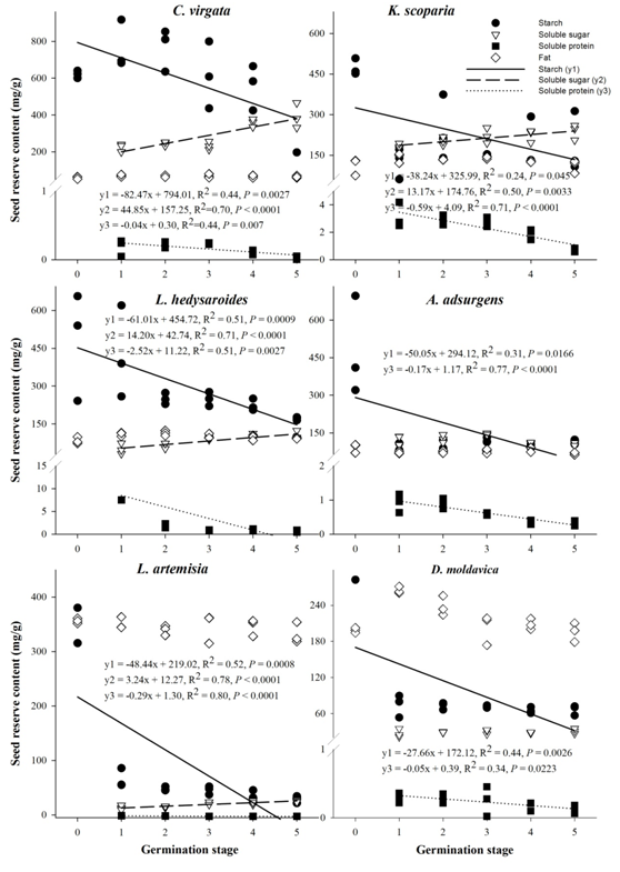
針對這一問題,東北地理所草地農牧業學科組研究了6種不同儲藏物質類型的野生草地植物虎尾草、堿地膚、細葉胡枝子、沙打旺、益母草、香青蘭(表1)干種子及不同萌發階段(吸脹期、1%萌發、50%萌發、最高萌發、早期幼苗)淀粉、脂肪、可溶蛋白和可溶糖的含量變化。研究發現,萌發率和萌發速率與干種子中三大物質儲藏含量不相關,但萌發速率與萌發過程中可溶糖和可溶蛋白含量顯著相關。無論哪種儲藏物質類型,淀粉主要在吸脹階段作為能量物質,從吸脹階段到早期幼苗階段可溶蛋白作為主要能量物質,而脂肪含量在整個萌發過程中無顯著變化(圖1)。脂肪利用的結果與禾本科和豆科作物種明顯不同,這一結果為野生種萌發過程中儲藏物質作為能量來源的作用提供了新視角。
本研究成果于2018年2月在Frontiers in Plant Science在線發表,聯合培養碩士生趙明為第一作者,東北地理所張紅香副研究員為通訊作者,相關工作得到國家自然科學基金和國家重點基礎研究發展計劃(973計劃)的資助。
論文信息:
Ming Zhao, Hongxiang Zhang*, Hong Yan, Lu Qiu and Carol C. Baskin (2018) Mobilization and role of starch, protein, and fat reserves during seed germination of six wild grassland species. Frontiers in Plant Science, 9: 234.
表1 六個物種所屬的科、生活型、光合途徑(P)、三大儲藏物質所占的比例及種子千粒重


圖1 六個物種淀粉、脂肪、可溶蛋白、可溶糖含量在萌發過程中的回歸分析。0表示干種子,1表示吸脹,2表示1%萌發,3表示50%萌發,4表示最高萌發,5表示早期幼苗階段。
附件下載:
吉公網安備22017302000214號