東北地理所在生物炭影響黑土農田土壤微生物群落結構研究取得進展
生物炭是生物質原料在無氧或缺氧條件下經高溫裂解產生的固體物質。生物炭通常具有高pH值,高碳氮比、高多孔性和對土壤養分具有較強吸附能力的特點。生物炭施入土壤中,不易被微生物分解利用,殘存時間長,被認為是一種有利于提高土壤碳固定,改良土壤理化性質的土壤改良劑。但目前國際上有關生物炭對土壤理化性質及土壤生物學特性的研究多是基于一年內的室內培養或當年的盆栽、田間試驗結果,而針對多年后的短期和長期效應的研究還很少。東北黑土素以土壤有機質含量高,土壤肥沃而著稱,但由于長期過度開發利用和不合理的農業措施管理等原因,導致土壤酸化、土壤壓實和土壤肥力下降等退化問題嚴重。基于生物炭固有的特征和施入土壤后的動態,研究生物炭短期和長期的生態效應對于科學制定生物炭施用策略具有指導意義。
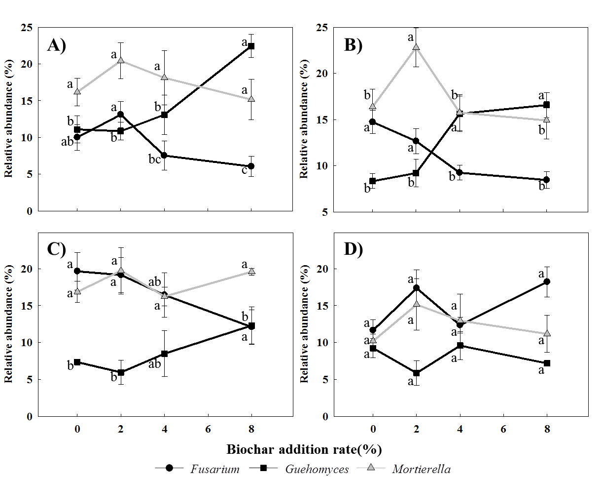
為此,東北地理所農田分子生態學科組于2012年建立了一個秸稈生物炭施用長期觀測研究平臺。生物炭按耕層土壤質量的0%、2%、4%和8%一次性混合施入土壤,大豆和玉米輪作種植,監測生物炭對土壤理化性質和土壤微生物的影響。項目組于2014年分4次采集耕層土壤樣品,解析土壤理化指標和土壤細菌和真菌群落變化情況。研究結果發現,生物炭施用3年后仍然對土壤理化指標產生明顯影響,表現為增加土壤全碳和全氮含量、增加土壤含水量、提高土壤pH值、降低土壤容重等。采用實時熒光定量PCR和Illumina Miseq測序技術對土壤細菌群落研究發現,添加生物炭增加了土壤細菌豐度,在門、屬和OTU等分類水平上均改變了細菌群落組成;發現施用生物炭增加了一些功能細菌的相對豐度,如芽孢桿菌屬(Bacillus)和土微菌屬(Pedomicrobium)等,而降低了慢生根瘤菌(Bradyrhizobium)相對豐度;CCA分析表明,土壤細菌群落結構變化與土壤pH、全碳、全氮和全鉀含量緊密相關。在土壤真菌群落結構研究方面,發現生物炭施用也增加了土壤真菌豐度,在屬和OTU水平上改變了真菌群落結構,但在門水平上沒有顯著影響;值得注意的是,生物炭施用降低了鐮刀菌屬(Fusarium)和黑粉菌屬(Ustilago)OTUs的相對豐度,說明施用生物炭有抑制有害植物病原菌生長繁殖的作用。CCA分析表明,土壤真菌群落結構變化與土壤理化指標,如土壤pH、含水量、TC、TN、TK和AK等密切相關。
相關研究結果近期發表在Soil Biology and Biochemistry和Applied Soil Ecology上。東北地理所博士研究生姚欽為第一作者,王光華研究員為通信作者。該項研究得到了中國科學院戰略性先導科技專項(B類)(XDB15010103)和黑龍江省杰出青年科學基金(JC201116)的聯合資助。
圖1生物炭施用對黑土細菌群落(A、B)和真菌群落結構(C、D)的NMDS和CCA分析

圖2 不同添加量生物炭對優勢真菌屬相對豐度的影響。A、B、C和D分別是采集的4月、6月、8月和10月的土壤樣品。
論文信息:
1.Yao, Q., Liu, J., Yu, Z., Li, Y., Jin, J., Liu, X., Wang, G*. Three years of biochar amendment alters soil physiochemical properties and fungal community composition in a black soil of northeast China. Soil Biology and Biochemistry, 2017, 110: 56-67.
2.Yao, Q., Liu, J., Yu, Z., Li, Y., Jin, J., Liu, X., Wang, G*. Changes of bacterial community compositions after three years of biochar application in a black soil of northeast China. Applied Soil Ecology, 2017, 113: 11-21.
附件下載:
吉公網安備22017302000214號